Git 学习笔记 | Git 基本操作命令
Git 学习笔记 | Git 基本操作命令
- Git 学习笔记 | Git 基本操作命令
- 文件的四种状态
- 查看文件状态
- 忽略文件
Git 学习笔记 | Git 基本操作命令
文件的四种状态
版本控制就是对文件的版本控制,要对文件进行修改、提交等操作,首先要知道文件当前在什么状态,不然可能会提交了现在还不想提交的文件,或者要提交的文件没提交上。
文件的四种状态:
-
Untracked:未跟踪。此文件在文件夹中,但并没有加入到 git 库,不参与版本控制。通过 git add 命令,状态变为 Staged。
-
Unmodify:文件已经入库,未修改,即版本库中的文件快照内容与文件夹中完全一致。这种类型的文件有两种去处:如果它被修改,而变为 Modified;如果使用 git rm 移出版本库,则成为 Untracked 文件。
-
Modified:文件已修改,仅仅是修改,并没有进行其他的操作。这个文件也有两个去处:通过 git add 命令,可进入暂存 Staged 状态;使用 git checkout 则丢弃修改过,返回到 Unmodify 状态,这个 git checkout 即从库中取出文件,覆盖当前修改。
-
Staged:暂存状态。执行 git commit 则将修改同步到库中,这时库中的文件和本地文件又变为一致,文件变为 Unmodify 状态。执行 git reset HEAD filename 取消暂存,文件状态为 Modified。
查看文件状态
上面说文件有4种状态,通过如下命令可以查看到文件的状态。
查看指定文件状态:
git status [filename]
查看所有文件状态:
git status
添加所有文件到暂存区:
git add .
提交暂存区中的内容到本地仓库( -m 后的是提交信息):
git commit -m "消息内容"
忽略文件
有些时候我们不想把某些文件纳入版本控制中,比如数据库文件,临时文件,设计文件等。
在主目录下建立 .gitignore 文件,此文件有如下规则:
- 忽略文件中的空行。
- 以 # 开始的行将会被忽略。
- 可以使用 Linux 通配符。例如:星号(*)代表任意多个字符,问号(?)代表一个字符,方括号([abc])代表可选字符范围,大括号({string1,string2,…})代表可选的字符串等。
- 如果名称的最前面有一个感叹号(!),表示例外规则,将不被忽略。
- 如果名称的最前面是一个路径分隔符(/),表示要忽略的文件在此目录下,而子目录中的文件不忽略。
- 如果名称的最后面是一个路径分隔符(/),表示要忽略的是此目录下该名称的子目录,而非文件(默认文件或目录都忽略)。
示例:
#为注释
*.txt #忽略所有.txt结尾的文件,这样的话上传就不会被选中!
!lib.txt #但lib.txt除外
/temp #仅忽略项目根目录下的TODO文件,不包括其它目录temp
build/ #忽略build/目录下的所有文件
doc/*.txt #会忽略 doc/notes.txt 但不包括 doc/server/arch.txt
相关文章:
Git 学习笔记 | Git 基本操作命令
Git 学习笔记 | Git 基本操作命令 Git 学习笔记 | Git 基本操作命令文件的四种状态查看文件状态忽略文件 Git 学习笔记 | Git 基本操作命令 文件的四种状态 版本控制就是对文件的版本控制,要对文件进行修改、提交等操作,首先要知道文件当前在什么状态&…...
第五章:最新版零基础学习 PYTHON 教程—Python 字符串操作指南(第七节 - Python 中的字符串模板类)
在字符串模块中,模板类允许我们为输出规范创建简化的语法。该格式使用由 $ 和有效 Python 标识符(字母数字字符和下划线)组成的占位符名称。用大括号将占位符括起来,使其后面可以跟更多的字母数字字母,且中间不留空格。写入 $$ 会创建一个转义的 $。 Python 字符串模板:…...
第八章 排序 十四、最佳归并树
目录 一、定义 二、多路最佳归并树 三、多路最佳归并树少了一个归并段 四、总结 一、定义 最佳归并树是指将若干个有序序列合并成一个有序序列的一种方式,使得所有合并操作的总代价最小的一棵二叉树。其中,代价通常指合并两个有序序列的操作次数或比…...
Python 中,类的方法的标准注释模板
在 Python 中,类的标准注释通常遵循以下格式: class 类名:"""类的简要描述属性:- 属性1 (类型): 属性1的描述- 属性2 (类型): 属性2的描述方法:- 方法1(): 方法1的描述- 方法2(): 方法2的描述示例:>>> 对象 类名()>>>…...
IPSG技术和IP组播
1,IPSG技术概述 实验: DHCP snooping IPSG 拓扑: 需求: 1,实现PC1 和PC2 动态获取IP地址 2, 在SW2 配置DHCP snooping 实现DHCP 服务器的安全 3, 在 连接PC 1 和 PC2 的 接口上 做IPSG ,防止终端…...
【大数据】Apache NiFi 助力数据处理及分发
Apache NiFi 助力数据处理及分发 1.什么是 NiFi ?2.NiFi 的核心概念3.NiFi 的架构4.NiFi 的性能预期和特点5.NiFi 关键特性的高级概览 1.什么是 NiFi ? 简单的说,NiFi 就是为了解决不同系统间数据自动流通问题而建立的。虽然 dataflow 这个术…...
什么是 SRE?一文详解 SRE 运维体系
目录 可观测性系统 故障响应 故障复盘 测试与发布 容量规划 自动化工具开发 用户体验 可观测性系统 在任何有一定规模的企业内部,一旦推行起来整个SRE的运维模式,那么对于可观测性系统的建设将变得尤为重要,而在整个可观测性系统中&a…...
【Docker】初识 Docker,Docker 基本命令的使用,Dockerfile 自定义镜像的创建
文章目录 前言:项目部署的挑战一、初识 Docker1.1 什么是 Docker1.2 Docker 与 虚拟机的区别1.3 镜像和容器以及镜像托管平台1.4 Docker的架构解析1.5 Docker 在 CentOS 中的安装 二、Docker 的基本操作2.1 操作 Docker 镜像命令2.1.1 镜像操作相关命令2.1.2 示例一…...
【Docker】简易版harbor部署
文章目录 依赖于docker-compose下载添加执行权限测试 安装harbor下载解压修改配置文件部署配置开机自启动登录验证 使用harbor登录打标签上传下载 常见问题 依赖于docker-compose 下载 curl -L “https://github.com/docker/compose/releases/download/2.22.0/docker-compose-…...
Zookeeper经典应用场景实战(一)
文章目录 1、Zookeeper Java客户端实战1.1、 Zookeeper 原生Java客户端使用1.2、 Curator开源客户端使用 2、 Zookeeper在分布式命名服务中的实战2.1、 分布式API目录2.2、 分布式节点的命名2.3、 分布式的ID生成器 3、Zookeeper实现分布式队列3.1、 设计思路3.2、 使用Apache …...
Chrome报错:Unchecked runtime.lastError
项目背景、安装了 Express 框架,目的是为了快速创建一个web服务器。创建成功后,控制台出现了报错,而在这之前没有出现过这个错误,所以一直在纠结是不是框架本身的问题。 错误原因:这个错误一般是浏览器与扩展或者插件…...
【算法】算法设计与分析 课程笔记 第三章 动态规划
1.1 动态规划简介 1.1.1 引例 动态规划算法和分治法类似,基本思想也是将待求解问题分解成若干个子问题,子问题可以以继续拆分,直到问题规模达到临界条件即可。多说无益,举个例子来解释一下: 这其实是一个多阶段图求最…...
贪心找性质+dp表示+矩阵表示+线段树维护:CF573D
比较套路的题目 首先肯定贪心一波,两个都排序后尽量相连。我一开始猜最多跨1,但其实最多跨2,考虑3个人的情况: 我们发现第3个人没了,所以可以出现跨2的情况 然后直接上dp,由 i − 1 , i − 2 , i − 3 i…...
小谈设计模式(17)—状态模式
小谈设计模式(17)—状态模式 专栏介绍专栏地址专栏介绍 状态模式关键角色上下文(Context)抽象状态(State)具体状态(Concrete State) 核心思想Java程序实现首先,我们定义一个抽象状态类 State,其中包含一个处理请求的方法 handleRe…...
Arm64体系架构-MPIDR_EL1寄存器
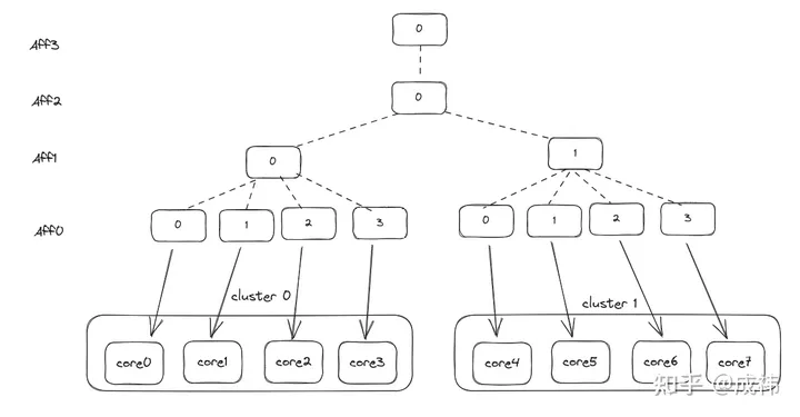
背景 在Arm64多核处理器中, 各核间的关系可能不同. 比如1个16 core的cpu, 每4个core划分为1个cluster,共享L2 cache. 当我们需要从core 0将任务调度出来时,如果优先选择core 1~3, 那么性能明显时优于其他core的. 那么操作系统怎么知道core之间这样的拓扑信息呢? Arm提供了MPID…...
MySQL支持哪些存储引擎
mysql支持九大存储引擎: 1)MYISAM存储引擎(优点:可被转换为压缩、只读表来节省空间。) 它管理的表具有以下特征: 使用三个文件表示每个表 格式文件-存储表结构的定义(mytable.frm) 数据文件-存…...
ElementUI结合Vue完成主页的CUD(增删改)表单验证
目录 一、CUD ( 1 ) CU讲述 ( 2 ) 编写 1. CU 2. 删除 二、验证 前端整合代码 : 一、CUD 以下的代码基于我博客中的代码进行续写 : 使用ElementUI结合Vue导航菜单和后台数据分页查询 ( 1 ) CU讲述 在CRUD操作中,CU代表创建(Create)…...
Flutter开发笔记 —— 语音消息功能实现
前言 最近在开发一款即时通讯(IM)的聊天App,在实现语音消息功能模块后,写下该文章以做记录。 注:本文不提供相关图片资源以及IM聊天中具体实现代码,单论语音功能实现思路 需求分析 比起上来直接贴代码,我们先来逐步…...
冒泡排序和选择排序
目录 一、冒泡排序 1.冒泡排序的原理 2.实现冒泡排序 1.交换函数 2.单躺排序 3.冒泡排序实现 4.测试 5.升级冒泡排序 6.升级版代码 7.升级版测试 二、选择排序 1.选择排序的原理 2.实现选择排序 1.单躺排序 2.选择排序实现 3.测试 4.修改 5.测试 一、冒泡排序…...
【深度学习】UNIT-DDPM核心讲解
文章目录 大致介绍:扩散损失:转换损失:循环一致性损失:推理过程:优缺点: 参考文章: https://blog.csdn.net/ssshyeong/article/details/127210086 这篇文章对整个文章 UNIT-DDPM: UNpaired Imag…...
深度学习在微纳光子学中的应用
深度学习在微纳光子学中的主要应用方向 深度学习与微纳光子学的结合主要集中在以下几个方向: 逆向设计 通过神经网络快速预测微纳结构的光学响应,替代传统耗时的数值模拟方法。例如设计超表面、光子晶体等结构。 特征提取与优化 从复杂的光学数据中自…...
SCAU期末笔记 - 数据分析与数据挖掘题库解析
这门怎么题库答案不全啊日 来简单学一下子来 一、选择题(可多选) 将原始数据进行集成、变换、维度规约、数值规约是在以下哪个步骤的任务?(C) A. 频繁模式挖掘 B.分类和预测 C.数据预处理 D.数据流挖掘 A. 频繁模式挖掘:专注于发现数据中…...
iPhone密码忘记了办?iPhoneUnlocker,iPhone解锁工具Aiseesoft iPhone Unlocker 高级注册版分享
平时用 iPhone 的时候,难免会碰到解锁的麻烦事。比如密码忘了、人脸识别 / 指纹识别突然不灵,或者买了二手 iPhone 却被原来的 iCloud 账号锁住,这时候就需要靠谱的解锁工具来帮忙了。Aiseesoft iPhone Unlocker 就是专门解决这些问题的软件&…...
如何在看板中有效管理突发紧急任务
在看板中有效管理突发紧急任务需要:设立专门的紧急任务通道、重新调整任务优先级、保持适度的WIP(Work-in-Progress)弹性、优化任务处理流程、提高团队应对突发情况的敏捷性。其中,设立专门的紧急任务通道尤为重要,这能…...
Spring AI 入门:Java 开发者的生成式 AI 实践之路
一、Spring AI 简介 在人工智能技术快速迭代的今天,Spring AI 作为 Spring 生态系统的新生力量,正在成为 Java 开发者拥抱生成式 AI 的最佳选择。该框架通过模块化设计实现了与主流 AI 服务(如 OpenAI、Anthropic)的无缝对接&…...
前端开发面试题总结-JavaScript篇(一)
文章目录 JavaScript高频问答一、作用域与闭包1.什么是闭包(Closure)?闭包有什么应用场景和潜在问题?2.解释 JavaScript 的作用域链(Scope Chain) 二、原型与继承3.原型链是什么?如何实现继承&a…...
JDK 17 新特性
#JDK 17 新特性 /**************** 文本块 *****************/ python/scala中早就支持,不稀奇 String json “”" { “name”: “Java”, “version”: 17 } “”"; /**************** Switch 语句 -> 表达式 *****************/ 挺好的ÿ…...
基于Java Swing的电子通讯录设计与实现:附系统托盘功能代码详解
JAVASQL电子通讯录带系统托盘 一、系统概述 本电子通讯录系统采用Java Swing开发桌面应用,结合SQLite数据库实现联系人管理功能,并集成系统托盘功能提升用户体验。系统支持联系人的增删改查、分组管理、搜索过滤等功能,同时可以最小化到系统…...
C++.OpenGL (20/64)混合(Blending)
混合(Blending) 透明效果核心原理 #mermaid-svg-SWG0UzVfJms7Sm3e {font-family:"trebuchet ms",verdana,arial,sans-serif;font-size:16px;fill:#333;}#mermaid-svg-SWG0UzVfJms7Sm3e .error-icon{fill:#552222;}#mermaid-svg-SWG0UzVfJms7Sm3e .error-text{fill…...
HubSpot推出与ChatGPT的深度集成引发兴奋与担忧
上周三,HubSpot宣布已构建与ChatGPT的深度集成,这一消息在HubSpot用户和营销技术观察者中引发了极大的兴奋,但同时也存在一些关于数据安全的担忧。 许多网络声音声称,这对SaaS应用程序和人工智能而言是一场范式转变。 但向任何技…...
