如何利用有限的数据发表更多的SCI论文?——利用ArcGIS探究环境和生态因子对水体、土壤和大气污染物的影响
SCI的写作和发表是科研人提升自身实力和实现自己价值的必要途径。“如何利用有限的数据发表更多的SCI论文?”是我们需要解决的关键问题。软件应用只是过程和手段,理解事件之间的内在逻辑和寻找事物之间的内在规律才是目的。
如何利用有限的数据发表更多的SCI论文?——利用ArcGIS探究环境和生态因子对水体、土壤和大气污染物的影响



教学特色:
提供大量的免费底图、矢量和栅格数据,以及空间数据的获取路径;
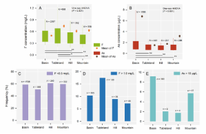
实战案例涉及环境科学、环境工程、环境化学、生物地理学、生态学、地理信息学、遥感科学、环境毒理学、医学流行病学等学科,内容涉及地下水、地表水、碳排放、土壤污染物、气候变化、生物多样性、生态系统服务、植被覆盖、土地利用、人类活动、健康风险和生态风险等;
所有演示案例均来自以第一作者发表的高质量SCI论文;
4、专属助学群辅助巩固学习及实际工作应用交流,不定期召开线上答疑,解决学员在SCI构思中遇到的困难。
专题一、ArcGIS软件的基本介绍和如何获取空间数据
1. ArcGIS软件初识与如何获取空间数据:
1.1 ArcCatalog、ArcMap的操作界面
1.2 个人地理数据库的构建
1.3 ArcGIS的数据类型(栅格和矢量)
1.4 遥感数据的获取


专题二、ArcGIS制图技术
2. ArcGIS制图技术:
2.1空间数据的准备和整理
2.2空间数据的可视化
2.3 采样示意图的制作
2.4 专题地图的绘制
2.5 采样点快速、有效提取
空间信息

专题三、空间底图的绘制
3. 空间底图的绘制:
3.1 地理配准和影像校正
3.2 基于DEM的表面分析(坡度、坡向、等值线、山体阴影提取)
3.3 基于DEM的水文分析(河网、盆域、集水区提取)
3.4 栅格计算器的高效应用

专题四、空间数据的分析
4. 空间数据的分析
4.1 空间数据的可视化
4.2 确定性插值方法(反距离权重法)
4.3 非确定性插值方法(简单克里金法、经验贝叶斯插值)
4.4 地统计工具的应用
4.5 插值结果的提取和分析



专题五、空间统计分析
5. 空间统计分析
5.1 统计学+地理学逻辑概念
5.2 度量地理分布(标准距离、方向分布、平均中心、中心要素)
5.3 空间自相关分析和结果解读(全局莫兰指数)
5.4 聚类和异常值分析(局部莫兰指数)、热点分析
5.5 空间关系建模(地理加权回归GWR)




专题六、土地利用信息的提取和利用
6. 土地利用信息的提取和利用
6.1 土地利用类型
6.2 土地利用转移矩阵的构建
6.3土地利用数据的获取(遥感数据)
6.4土地利用的分类提取(重分类、栅格转矢量、融合工具)
6.5 景观生态学指标的计算和评估(Fragstats软件的应用)


专题七、人类活动的量化模型和空间数据的高效耦合
7. 人类活动的量化模型和空间数据的高效耦合
7.1 基于土地利用的人类活动量化模型
7.2 地表人类活动强度模型
7.3 人为干扰度模型
7.4 景观格局指数
7.5 基于压力的评估模型(人类足迹指数)


专题八、多种栅格数据的叠加模型
8. 多种栅格数据的叠加模型
8.1 缓冲区构建和分析(欧氏距离)
8.2 权重的构建(yaahp软件的应用)
8.3 栅格数据的分类赋值和叠加(加权总和)
8.4 用地适宜性评价


专题九、矢量数据的空间运算
9. 矢量数据的空间运算
9.1 矢量渔网的构建
9.2 矢量空间数据的提取
9.3 属性表的分区统计
9.3 ArcGIS中通过建模实现批量处理(模型构建器)



专题十、How to publish SCI?
10. How to publish SCI?
10.1 Topic and innovation
10.2 How to write (Results, Methods, Conclusion, Discussion, Introduction, Abstract, Title)
10.3 Interpretation of review status
10.4 Tips for revision of manuscripts


点击查看原文
相关文章:
如何利用有限的数据发表更多的SCI论文?——利用ArcGIS探究环境和生态因子对水体、土壤和大气污染物的影响
SCI的写作和发表是科研人提升自身实力和实现自己价值的必要途径。“如何利用有限的数据发表更多的SCI论文?”是我们需要解决的关键问题。软件应用只是过程和手段,理解事件之间的内在逻辑和寻找事物之间的内在规律才是目的。如何利用有限的数据发表更多的…...
六【 SpringMVC框架】
一 SpringMVC框架 目录一 SpringMVC框架1.什么是MVC2.SpringMVC概述3.SpringMVC常见开发方式4.SpringMVC执行流程5.SpringMVC核心组件介绍6.快速构建Spring MVC程序✅作者简介:Java-小白后端开发者 🥭公认外号:球场上的黑曼巴 🍎个…...
【BBuf的CUDA笔记】八,对比学习OneFlow 和 FasterTransformer 的 Softmax Cuda实现
0x1. OneFlow/FasterTransformer SoftMax CUDA Kernel 实现学习 这篇文章主要学习了oneflow的softmax kernel实现以及Faster Transformer softmax kernel的实现,并以个人的角度分别解析了原理和代码实现,最后对性能做一个对比方便大家直观的感受到onefl…...
python 类对象的析构释放代码演示
文章目录一、类的构造函数与析构函数二、代码演示1. 引用的更迭2. 只在函数内部的类对象三、函数内部返回的类对象1. 使用全局变量 引用 函数内部的类对象一、类的构造函数与析构函数 init 函数是python 类的构造函数,在创建一个类对象的时候,就会自动调…...
Hadoop Shell常用命令
Hadoop Shell命令在管理HDFS的时候还是比较常用的,Hadoop Shell命令与shell命令极为相似,但是方便查询,在这里总结分享,大家enjoy~~ 1,cat 语法格式:hadoop fs -cat URI [URI …] 含义:将路径…...
Android中级——色彩处理和图像处理
色彩处理 通过色彩矩阵处理 色彩矩阵介绍 图像的RGBA可拆分为一个4行5列的矩阵和5行1列矩阵相乘 其中4行5列矩阵即为ColorMatrix,可通过调整ColorMatrix间接调整RGBA 第一行 abcde 决定新的 R第二行 fghij 决定新的 G第三行 klmno 决定新的 G第四行 pqrst 决定新…...
C++类和对象:类的定义、类对象的存储、this指针
目录 一. 对于面向过程和面向对象的认识 二. 类 2.1 struct关键字定义类 2.1.1 C语言中的struct关键字 2.1.2 C中的struct关键字 2.2 class关键字 2.1 使用class关键字定义类 三. 类的访问限定及封装 3.1 类的访问权限及访问限定符 3.1.1 访问权限 3.1.2 访问限定…...
代码随想录算法训练营第三十九天 | 62.不同路径,63. 不同路径 II
一、参考资料不同路径https://programmercarl.com/0062.%E4%B8%8D%E5%90%8C%E8%B7%AF%E5%BE%84.html 视频讲解:https://www.bilibili.com/video/BV1ve4y1x7Eu不同路径 IIhttps://programmercarl.com/0063.%E4%B8%8D%E5%90%8C%E8%B7%AF%E5%BE%84II.htmlhttps://progr…...
数据库复习3
一. 简答题(共1题,100分) 1. (简答题) 存在数据库test,数据库中有如下表: 1.学生表 Student(Sno,Sname,Sage,Ssex) --Sno 学号,Sname 学生姓名,Sage 出生年月,Ssex 学生性别 主键Sno 2.教师表 Teacher(Tno,Tname) --T…...
顺序表的增删查改
数据结构 是数据存储的方式,对于不同的数据我们要采用不同的数据结构。就像交通运输,选用什么交通工具取决于你要运输的是人还是货物,以及它们的数量。 顺序存储结构 包括顺序表、链表、栈和队列等。 例如腾讯QQ中的好友列表,…...
jupyter matplotlib中文乱码解决
中文乱码可能有两种情况 1. matplotlib里面有中文字体 2. 没有中文字体 查看是否有中文字体: # 查询当前系统所有字体 from matplotlib.font_manager import FontManager import subprocessmpl_fonts = set(f.name for f in FontManager().ttflist)print(all font list get f…...
Smtplib之发邮件模块
目录 创建Smtp对象 Smtp类中的方法 MIME MIMEBase MIMEBase MIMEMultipart MIMEApplication MIMEAudio MIMEImage MIMEText 实例 texthtml格式 发送带图片附件的邮件 发送带附件的邮件 含多种格式 SMTP模块 SMTP 简单传输协议,它是一组用于由源…...
Android 适配手机和平板
一、屏幕适配限定符Android 系统加载应用资源时 , 会根据当前运行应用的设备的相关属性 , 如 : 屏幕尺寸 / 屏幕像素密度 / 宽高比 / 屏幕方向 等属性 , 加载不同的屏幕适配限定符目录下的资源 ;如 : 横竖屏切换时 , res/layout-land 目录中 , 存放的是横屏布局 , res/layout-p…...
时序预测 | MATLAB实现LSTM-SVR(长短期记忆神经网络-支持向量机)时间序列预测
时序预测 | MATLAB实现LSTM-SVR(长短期记忆神经网络-支持向量机)时间序列预测 目录时序预测 | MATLAB实现LSTM-SVR(长短期记忆神经网络-支持向量机)时间序列预测效果一览基本介绍模型介绍LSTM模型SVR模型LSTM-SVR模型程序设计参考资料致谢效果一览 基本介绍 本次运行测试环境MA…...
分阶段构建golang运行环境Dockerfile镜像
在开始这项工作之前大家可以先去看一下docker官方给出关于空镜像scratch的说明,采用官方简单的一句话就是:scratch是一个明确的空图像,特别是对于“从头开始”构建图像。分阶段构建镜像就会用到scratch这个空镜像,这样的好处是可以…...
Vue-cli脚手架在做些什么(源码角度分析)
什么是Vue脚手架?在学习初期,我们的项目往往需要借助webpack、vite等打包工具配置Vue的开发环境,但是在真实开发中我们不可能每个项目从头来完成所有的webpack配置,这样显得开发的效率会大大的降低;所有的真实开发中&a…...
【Nginx】|入门连续剧——安装
作者:狮子也疯狂 专栏:《Nginx从入门到超神》 坚持做好每一步,幸运之神自然会降临在你的身上 目录一. 🦁 前言Ⅰ. 🐇 为啥我们要使用Nginx?二. 🦁 搭建流程Ⅰ. 🐇 环境准备Ⅱ. &…...
从0开始学python -38
Python3 面向对象-1 Python从设计之初就已经是一门面向对象的语言,正因为如此,在Python中创建一个类和对象是很容易的。本章节我们将详细介绍Python的面向对象编程。 如果你以前没有接触过面向对象的编程语言,那你可能需要先了解一些面向对…...
算法设计与分析期末考试复习(二)
分治法 将一个难以直接解决的大问题,分割成一些规模较小的相同问题,以便各个击破,分而治之。最好使子问题的规模大致相同。 分解(Divide):将一个难以直接解决的大问题,分割成一些规模较小的子…...
九龙证券|4D毫米波雷达成市场新宠,相关概念股大涨,会贡献多少业绩?
近日,4D毫米波雷达成为A股新宠,相关概念股如经纬恒润(688326.SH)一周内涨幅接近20%,威孚高科(000581.SZ)5个买卖日内涨幅超越25%。 有音讯称特斯拉将在3月1日投资者活动日会宣告新款Model 3的全…...
多云管理“拦路虎”:深入解析网络互联、身份同步与成本可视化的技术复杂度
一、引言:多云环境的技术复杂性本质 企业采用多云策略已从技术选型升维至生存刚需。当业务系统分散部署在多个云平台时,基础设施的技术债呈现指数级积累。网络连接、身份认证、成本管理这三大核心挑战相互嵌套:跨云网络构建数据…...
Docker 离线安装指南
参考文章 1、确认操作系统类型及内核版本 Docker依赖于Linux内核的一些特性,不同版本的Docker对内核版本有不同要求。例如,Docker 17.06及之后的版本通常需要Linux内核3.10及以上版本,Docker17.09及更高版本对应Linux内核4.9.x及更高版本。…...
C++初阶-list的底层
目录 1.std::list实现的所有代码 2.list的简单介绍 2.1实现list的类 2.2_list_iterator的实现 2.2.1_list_iterator实现的原因和好处 2.2.2_list_iterator实现 2.3_list_node的实现 2.3.1. 避免递归的模板依赖 2.3.2. 内存布局一致性 2.3.3. 类型安全的替代方案 2.3.…...
进程地址空间(比特课总结)
一、进程地址空间 1. 环境变量 1 )⽤户级环境变量与系统级环境变量 全局属性:环境变量具有全局属性,会被⼦进程继承。例如当bash启动⼦进程时,环 境变量会⾃动传递给⼦进程。 本地变量限制:本地变量只在当前进程(ba…...
工业安全零事故的智能守护者:一体化AI智能安防平台
前言: 通过AI视觉技术,为船厂提供全面的安全监控解决方案,涵盖交通违规检测、起重机轨道安全、非法入侵检测、盗窃防范、安全规范执行监控等多个方面,能够实现对应负责人反馈机制,并最终实现数据的统计报表。提升船厂…...
Java 8 Stream API 入门到实践详解
一、告别 for 循环! 传统痛点: Java 8 之前,集合操作离不开冗长的 for 循环和匿名类。例如,过滤列表中的偶数: List<Integer> list Arrays.asList(1, 2, 3, 4, 5); List<Integer> evens new ArrayList…...
通过Wrangler CLI在worker中创建数据库和表
官方使用文档:Getting started Cloudflare D1 docs 创建数据库 在命令行中执行完成之后,会在本地和远程创建数据库: npx wranglerlatest d1 create prod-d1-tutorial 在cf中就可以看到数据库: 现在,您的Cloudfla…...
23-Oracle 23 ai 区块链表(Blockchain Table)
小伙伴有没有在金融强合规的领域中遇见,必须要保持数据不可变,管理员都无法修改和留痕的要求。比如医疗的电子病历中,影像检查检验结果不可篡改行的,药品追溯过程中数据只可插入无法删除的特性需求;登录日志、修改日志…...
Java多线程实现之Callable接口深度解析
Java多线程实现之Callable接口深度解析 一、Callable接口概述1.1 接口定义1.2 与Runnable接口的对比1.3 Future接口与FutureTask类 二、Callable接口的基本使用方法2.1 传统方式实现Callable接口2.2 使用Lambda表达式简化Callable实现2.3 使用FutureTask类执行Callable任务 三、…...
现代密码学 | 椭圆曲线密码学—附py代码
Elliptic Curve Cryptography 椭圆曲线密码学(ECC)是一种基于有限域上椭圆曲线数学特性的公钥加密技术。其核心原理涉及椭圆曲线的代数性质、离散对数问题以及有限域上的运算。 椭圆曲线密码学是多种数字签名算法的基础,例如椭圆曲线数字签…...
