基于ArcGIS Pro、Python、USLE、INVEST模型等多技术融合的生态系统服务构建生态安全格局
查看原文>>>基于ArcGIS Pro、Python、USLE、INVEST模型等多技术融合的生态系统服务构建生态安全格局
目录
第一章、生态安全评价理论及方法介绍
第二章、平台基础
第三章、数据获取与清洗
第四章、基于USLE模型的土壤侵蚀评价
第五章、基于风蚀修正模型的防风固沙功能评估
第六章、水源涵养模型
第七章、InVEST模型估算碳储量和生境质量
第八章、生态安全格局构建
第九章、相关的SCI论文撰写技巧
本文将从生态安全的内涵入手,讲解如何根据区域生态环境存在的实际问题,收集与研究相关的资料和研究成果及多类型、多时相遥感数据;如何清洗数据,对数据进行处理和信息挖掘识别影响生态环境安全的因素;讲解如何对5种关键的生态系统服务(水源涵养、土壤保持、防风固沙和生境质量、固碳量)进行定量评估,如何在评价结果基础上识别出能够保障区域生态安全的生态源地;如何根据研究区生态系统服务重要性构建基本阻力面,如何运用最小累积阻力等模型识别潜在生态廊道;如何构建生态安全格局,如何实施生态安全格局的优化策略,本课程将为开发建设生态城市、保障区域生态安全提供空间指引。
ArcGIS Pro作为ESRI面向新时代的GIS产品,它在原有的ArcGIS平台上继承了传统桌面软件(ArcMap)的强大的数据管理、制图、空间分析等能力,还具有其独有的特色功能,例如二三维融合、大数据、矢量切片制作及发布、任务工作流、超强制图,时空立方体等。由于Python语言的简洁性、易读性以及可扩展性,使用Python将大大提升地理数据处理的效率。
理解使用地理数据,使用掌握Python的相关模块和库,掌握ArcGIS Pro的空间分析与制图技能;从专题上教会您:掌握安全评价指标体系的构建与计算;掌握突变模型在指标集成中的作用;掌握生态安全评价时空过程分析与趋势预警的方法。基于对区域生态变化的趋势和内在关系的理解,结合生态问题诊断、生态功能需求评估和景观格局规划,助力保障生态系统的功能性与服务性。
【内容简述】:
第一章、生态安全评价理论及方法介绍
一、生态安全评价简介
二、生态服务能力简介

三、生态安全格局构建研究方法简介
第二章、平台基础
一、ArcGIS Pro介绍1. ArcGIS Pro简介2. ArcGIS Pro基础3. ArcGIS Pro数据编辑4. ArcGIS Pro空间分析5. 模型构建器6. ArcGIS Pro符号制作7. ArcGIS Pro制图布局与出图
二、Python环境配置1. Python软件下载与安装2. 程序编写与运行3. Python代码书写规则4. 文件读写文件对象、文本文件的读写、JSON文件读写、二进制文件读写、HDF文件读写、Excel文件读写、文件系统和路径操作5. ArcPy简介基本情况利用ArcPy运行工具工具运行环境空间参照6. 访问和管理空间数据对表格数据(table)、要素类(feature class)、栅格数据(raster)、数据集(dataset)的访问与管理
第三章、数据获取与清洗
一、数据获取:数据主要包括土地利用数据、社会经济数据、基础地理信息数据、自然环境数据(地形、土壤以及气候数据):
二、数据预处理(ArcGIS Pro及Python环境)
1.土地利用数据进行拼接、裁剪、重投影(桌面端与云计算)
2.将社会经济数据、植被指数数据进行裁剪、重投影及重采样处理(桌面端与云计算)
3.将基础地理信息数据进行拼接、投影转换,矢量数据栅格化
4.气象数据裁剪、重投影及重采样处理;站点数据提取及地统计分析
5.DEM数据投影变换和影像裁剪
数据清洗:去除重复数据、填补缺失值、处理异常值和转换数据格式等操作
第四章、基于USLE模型的土壤侵蚀评价
一、生态系统服务功能评估技术规范简介
二、生态系统服务功能评估的内容和流程、评估指标体系、评估方法等

水土保持功能主要与气候、土壤、地形和植被有关,主要考虑土壤可蚀性、地形、降雨等因子。
通用土壤流失方程(USLE)的计算公式如下:
A=R*K*L*S*(1-C)
式中:
A:任一坡耕地在特定的降雨、作物管理制度及所采用的水土保持措施下,单位面积年平均土壤流失量,t/ha
R:降雨侵蚀力因子,是单位降雨侵蚀指标,如果融雪径流显著,需要增加融雪因子,MJ*mm/(ha*h)
K:土壤可蚀性因子,标准小区上单位降雨侵蚀指标的土壤流失率
L:坡长因子;
S:坡度因子,等于其它条件相同时实际坡度与9%坡度相比土壤流失比值;由于L和S因子经常影响土壤流失,因此,称LS为地形因子,以示其综合效应;
C:植被覆盖和经营管理因子,等于其它条件相同时,特定植被和经营管理地块上的土壤流失与标准小区土壤流失之比;
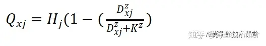
第五章、基于风蚀修正模型的防风固沙功能评估
防风固沙是生态系统(如森林、草地等)通过其结构与过程减少由于风蚀所导致的土壤侵蚀的作用,是生态系统提供的重要调节服务之一。防风固沙功能主要与风速、降雨、温度、土壤、地形和植被等因素密切相关。以防风固沙量(潜在风蚀量与实际风蚀量的差值)作为生态系统防风固沙功能的评估指标。
式中:SR 为固沙量(t km-2 a-1);SL 潜为潜在风力侵蚀量(t km-2 a1);SL 为实际风力侵蚀量(t km-2 a-1);QMAX 为最大转移量(kg/m);Z 为 最大风蚀出现距离(m),本次实验设定为 50m;WF 为气候因子(kg/m);K'为 地表糙度因子;EF 为土壤可蚀因子;SCF 为土壤结皮因子;C 为植被覆盖因子。
第六章、水源涵养模型
水源涵养是生态系统(如森林、草地等)通过其特有的结构与水相互作用,对降水进行截留、渗透、蓄积,并通过蒸散发实现对水流、水循环的调控,主要表现在缓和地表径流、补充地下水、减缓河流流量的季节波动、滞洪补枯、保证水质等方面。以水源涵养量作为生态系统水源涵养功能的评估指标。
采用模型评估法来评估水源涵养评估模型,采用水量平衡方程来计算水源涵养量,水源涵养评估模型公式为:

式中::TQ 为总水源涵养量(m 3),Pi为降雨量(mm),Ri为地表径流量(mm),ETi为蒸散发(mm),Ai为 i 类生态系统面积(km2),i 为 研究区第 i 类生态系统类型,j 为研究区生态系统类型数。
第七章、InVEST模型估算碳储量和生境质量
一、碳储量估算
InVEST模型中,生态系统的碳储量()由地上碳储量()、地下碳储量()、土壤碳储量()和死亡有机碳储量()四个基本碳库组成,模型的计算公式为:
确定各碳库的碳密度值是计算生态系统碳储量功能的关键,采用参阅文献或者实测数据等对碳密度进行修正。
二、生境质量估算
生境质量取值范围在0-1之间,得分的高低反映了生境质量的好坏,得分低的地块较容易受到破坏。
其中,表示土地利用类型j中栅格x的生境质量得分;表示生境适宜度;K为半饱和参数。
第八章、生态安全格局构建
一、重要生态源地识别
1.生态系统服务重要性
各生态系统服务按照自然断点法分为高、较高、中、较低、低五个级别,以全球生态系统服务价值估算中各项生态系统服务在生态资产中的比重构成为依据 ,确定各项生态系统服务的权重,并进行加权叠加分析,得到生态系统服务重要性空间分布结果。
2.生态敏感性
生态敏感性具体分级标准主要参考国家生态环境部颁发的《生态功能区暂行规程》《生态保护红线划定技术指南》、国家有关生态功能区划工作生态敏感性指标体系分级标准以及相关研究,建立生态敏感性指标体系,进行生态敏感性分析。
3.空间分析提取生态源地
将生态敏感区和生态系统服务重要性评价结果进行叠加,利用 ArcGIS Pro空间分析模块的热点分析工具识别叠加后的生态系统重要性冷热区域,
二、阻力面模型构建
物种在不同景观单元之间进行迁移时会受到阻碍,因此需要通过构建阻力来计算其在克服阻力情况下的扩散路径。在确定生态源地的基础上,依据最小阻力累积模型,将每个栅格单元的生态系统服务价值视为服务流动的阻力,价值越高阻力越小。
1)影响空间阻力的因子分析(高程、坡度、植被覆盖因素、道路等因素)
2)阻力系数及权重确定
3)阻力面提取
三、阻力模型生态廊道提取
生态廊道是两个源斑块之间阻力最低的通道,区域中源斑块间的联系需要通过构建生态廊道来建立。
区域内生态廊道的识别通常先利用最小阻力模型模拟生成廊道,再结合现有城市生态廊道,或是根据地物现状进行修正,从而确定生态廊道的位置和宽度。

四、电路模型生态廊道提取
电路理论指用电子在电路中随机游走的特性来模拟物种个体或基因在景观中的迁移扩散过程,使用源地间的电流强度反映生态斑块和廊道的相对重要性,从而预测物种扩散与迁移规律、识别移动路径,这一方法更符合真实的物种运动情况;
1)生态源地:每个生态源作为一个电路节点,根据电阻面的最小成本路径计算出两个节点之间每条链路的累积电阻。累积电阻被指定为链路的电阻。
2)生态夹点:对于每对电路节点,一个节点任意连接到 1 安培的电流,而另一个节点接地。在所有电路节点对之间迭代计算有效电阻。对于n 个节点,有n ( n − 1)/2 次计算。累计当前值反映了随机游走者到目的地节点的净迁移量,可用于识别生态廊道的重要性。累积电流值越大,景观中的区域越重要。具有最高电流值的区域被指定为夹点。
3)生态屏障:屏障被确定为可以大大增强生态源连通性和生态修复的关键节点。随着一定区域的生态恢复,该区域的抵抗力降低;因此,通过恢复区域连接节点的最低成本路径的累积电阻也降低了。那些累积阻力下降幅度最大的恢复区域被确定为障碍。
第九章、相关的SCI论文撰写技巧
1.科技论文结构
2.摘要和结论
3.引言与讨论
4.论文投稿技巧分析
5.SCI论文案例分析
6.研究方向
注:请提前自备电脑及安装所需软件。
【其它相关推荐】:
基于Python机器学习、深度学习技术提升气象、海洋、水文领域实践应用能力
Python语言在地球科学交叉领域中的实践技术融合应用
高精度气象模拟软件WRF(Weather Research Forecasting)实践技术及案例应用
CMIP6 数据处理方法与典型案例分析实践技术应用
最新PyTorch机器学习与深度学习技术方法与案例实践应用
基于Python长时间序列遥感数据处理及在全球变化、物候提取、植被变绿与固碳分析、生物量估算与趋势分析等领域中的应用
基于生态系统服务(InVEST模型)的人类活动、重大工程生态成效评估、论文写作等具体应用
相关文章:
基于ArcGIS Pro、Python、USLE、INVEST模型等多技术融合的生态系统服务构建生态安全格局
查看原文>>>基于ArcGIS Pro、Python、USLE、INVEST模型等多技术融合的生态系统服务构建生态安全格局 目录 第一章、生态安全评价理论及方法介绍 第二章、平台基础 第三章、数据获取与清洗 第四章、基于USLE模型的土壤侵蚀评价 第五章、基于风蚀修正模型的防风固…...
开心档之MySQL 创建数据类型
MySQL 数据类型 MySQL 中定义数据字段的类型对你数据库的优化是非常重要的。 MySQL 支持多种类型,大致可以分为三类:数值、日期/时间和字符串(字符)类型。 数值类型 MySQL 支持所有标准 SQL 数值数据类型。 这些类型包括严格数值数据类型(INTEGER、S…...
【C++ Primer(第5版) 课后习题题目及答案 第一章】
C Primer5th 课后习题答案 第一章 1.1:查阅你使用的编译器的文档,确定它所使用的文件命名约定。编译并运行main程序。1.2:改写程序,让它返回-1。返回值-1通常被当作程序错误的标识。重新编译并运行你的程序,观察你的系…...
【英语】100个句子记完7000个托福单词
其实主要的7000词其实是在主题归纳里面,不过过一遍100个句子也挺好的,反正也不多。 文章目录 Sentence 01Sentence 02Sentence 03Sentence 04Sentence 05Sentence 06Sentence 07Sentence 08Sentence 09Sentence 10Sentence 11Sentence 12Sentence 13Sent…...
六、CANdelaStudio入门-通信参数编辑
本专栏将由浅入深的展开诊断实际开发与测试的数据库编辑,包含大量实际开发过程中的步骤、使用技巧与少量对Autosar标准的解读。希望能对大家有所帮助,与大家共同成长,早日成为一名车载诊断、通信全栈工程师。 本文介绍CANdelaStudio的通信参数编辑,欢迎各位朋友订阅、评论,…...
【致敬未来的攻城狮计划】— 连续打卡第十三天:FSP固件库开发启动文件详解
系列文章目录 1.连续打卡第一天:提前对CPK_RA2E1是瑞萨RA系列开发板的初体验,了解一下 2.开发环境的选择和调试(从零开始,加油) 3.欲速则不达,今天是对RA2E1 基础知识的补充学习。 4.e2 studio 使用教程 5.…...
Java中mybatis是否支持延迟加载?延迟加载的原理是什么?
是的,MyBatis支持延迟加载。延迟加载是指在查询对象时,只加载其基本属性,而将关联对象的数据暂不加载,等到真正需要使用关联对象时再去查询加载其数据的一种技术。 MyBatis通过在映射文件中配置lazyLoadingEnabled属性来开启延迟加…...
真题详解(磁盘)-软件设计(五十八)
真题详解(MTTR)-软件设计(五十七)https://blog.csdn.net/ke1ying/article/details/130354940 1、2021年上半年 解析: 哈希地址 0 1 2 3 4 5 6 7 8 9 10 构建哈希表 第一步:3%11 3 ,放在哈希地址3的位置…...
MATLAB连续时间信号的实现和时域基本运算(八)
1、实验目的: 1)熟悉常用连续时间信号的实现方法; 2)掌握连续时间信号的时域基本运算; 3)掌握实现基本函数及其运算的函数的使用方法; 4)加深对信号基本运算的理解。 2、实验内容&am…...
MongoDB 聚合管道中使用字符串表达式运算符
字符串表达式运算符主要用于实现字符串操作,主要包括了大小写转换、字符串截取、拼接、替换等 一、准备工作 初始化字符串数据 db.strings.insertMany([{ "_id": "1", "comment": " Abc" },{ "_id": "2&…...
用Python分析周杰伦歌曲并进行数据可视化
大家好,今天我们用python分析下周杰伦歌曲。为了尽量完整地呈现从原始数据到可视化的过程,接下来我们会先简单讲解数据的预处理过程,即如何将 JSON 数据转化为Excel 格式,以及如何对周杰伦的歌曲进行分词。 本案例中的歌词数据来…...
培训技能 GET
技巧 调整语速和语调:讲解者需要注意语速和语调的调整,以便让听众更好地理解和接受内容。 使用案例和实例:讲解者可以使用案例和实例来帮助听众更好地理解和记忆内容,同时也可以增强听众的兴趣和参与度。 互动式讲解:…...
数据库安全性案例分享
1 概述1.1 适用范围 本规范明确了Oracle数据库安全配置方面的基本要求。 1.2 符号和缩略语 缩写 英文描述 中文描述 DBA Database Administrator 数据库管理员 VPD Virtual Private Database 虚拟专用数据库 OLS Oracle Label Security Oracle标签…...
2023,你了解Kafka吗?深入详解
- 消息队列的核心价值 - 解耦合。 异步处理 例如电商平台,秒杀活动。一般流程会分为:1: 风险控制、2:库存锁定、3:生成订单、4:短信通知、5:更新数据。 通过消息系统将秒杀活动业务拆分开&#x…...
奇舞周刊第 491 期 初探 Web 客户端追踪技术
记得点击文章末尾的“ 阅读原文 ”查看哟~ 下面先一起看下本期周刊 摘要 吧~ 奇舞推荐 ■ ■ ■ 初探 Web 客户端追踪技术 浏览器的追踪技术是一把双刃剑,它建立了用户个人信息和网站之间的连接,合理地使用能够大大提高用户的体验,但是同时也…...
【Java】什么是SOA架构?与微服务有什么关系?
文章目录 服务化架构微服务架构 我的一个微服务项目,有兴趣可以一起做 服务化架构 我们知道,早期的项目,我们都是把前后端的代码放在同一个项目中,然后直接打包运行这个项目,这种项目我们称之为单体项目,比…...
【中间件】kafka
目录 一、概述二、生产者1. 发送原理2. 生产者分区 Partition分区好处分区策略 3. 生产者如何提高吞吐量4. 数据可靠性ACK应答级别数据不丢失:ACK ISR数据不重复:幂等性数据有序 三、broker1. 工作流程2. 副本相关3. 底层存储4. 高效读写数据 四、消费者…...
Html5版音乐游戏制作及分享(H5音乐游戏)
这里实现了Html5版的音乐游戏的核心玩法。 游戏的制作借鉴了,很多经典的音乐游戏玩法,通过简单的代码将音乐的节奏与操作相结合。 可以通过手机进行游戏,准确点击下落时的目标,进行得分。 点击试玩 游戏内的下落数据是通过手打记…...
Python基于Pytorch Transformer实现对iris鸢尾花的分类预测,分别使用CPU和GPU训练
1、鸢尾花数据iris.csv iris数据集是机器学习中一个经典的数据集,由英国统计学家Ronald Fisher在1936年收集整理而成。该数据集包含了3种不同品种的鸢尾花(Iris Setosa,Iris Versicolour,Iris Virginica)各50个样本&am…...
【运动规划算法项目实战】如何实现简单的状态机
文章目录 简介一、状态机1.1 简介1.2 原理介绍1.3 使用方法二、行为树2.1 简介2.2 原理介绍2.3 使用方法三、如何实现一个简单的状态机四、其他的决策模型简介四、总结简介 在机器人算法中,状态机和行为树是常用的两种设计模式。它们能够帮助机器人在复杂的环境中更好地执行任…...
[2025CVPR]DeepVideo-R1:基于难度感知回归GRPO的视频强化微调框架详解
突破视频大语言模型推理瓶颈,在多个视频基准上实现SOTA性能 一、核心问题与创新亮点 1.1 GRPO在视频任务中的两大挑战 安全措施依赖问题 GRPO使用min和clip函数限制策略更新幅度,导致: 梯度抑制:当新旧策略差异过大时梯度消失收敛困难:策略无法充分优化# 传统GRPO的梯…...
大型活动交通拥堵治理的视觉算法应用
大型活动下智慧交通的视觉分析应用 一、背景与挑战 大型活动(如演唱会、马拉松赛事、高考中考等)期间,城市交通面临瞬时人流车流激增、传统摄像头模糊、交通拥堵识别滞后等问题。以演唱会为例,暖城商圈曾因观众集中离场导致周边…...
在Ubuntu中设置开机自动运行(sudo)指令的指南
在Ubuntu系统中,有时需要在系统启动时自动执行某些命令,特别是需要 sudo权限的指令。为了实现这一功能,可以使用多种方法,包括编写Systemd服务、配置 rc.local文件或使用 cron任务计划。本文将详细介绍这些方法,并提供…...
鸿蒙DevEco Studio HarmonyOS 5跑酷小游戏实现指南
1. 项目概述 本跑酷小游戏基于鸿蒙HarmonyOS 5开发,使用DevEco Studio作为开发工具,采用Java语言实现,包含角色控制、障碍物生成和分数计算系统。 2. 项目结构 /src/main/java/com/example/runner/├── MainAbilitySlice.java // 主界…...
Linux C语言网络编程详细入门教程:如何一步步实现TCP服务端与客户端通信
文章目录 Linux C语言网络编程详细入门教程:如何一步步实现TCP服务端与客户端通信前言一、网络通信基础概念二、服务端与客户端的完整流程图解三、每一步的详细讲解和代码示例1. 创建Socket(服务端和客户端都要)2. 绑定本地地址和端口&#x…...
Go 语言并发编程基础:无缓冲与有缓冲通道
在上一章节中,我们了解了 Channel 的基本用法。本章将重点分析 Go 中通道的两种类型 —— 无缓冲通道与有缓冲通道,它们在并发编程中各具特点和应用场景。 一、通道的基本分类 类型定义形式特点无缓冲通道make(chan T)发送和接收都必须准备好࿰…...
SQL Server 触发器调用存储过程实现发送 HTTP 请求
文章目录 需求分析解决第 1 步:前置条件,启用 OLE 自动化方式 1:使用 SQL 实现启用 OLE 自动化方式 2:Sql Server 2005启动OLE自动化方式 3:Sql Server 2008启动OLE自动化第 2 步:创建存储过程第 3 步:创建触发器扩展 - 如何调试?第 1 步:登录 SQL Server 2008第 2 步…...
SpringAI实战:ChatModel智能对话全解
一、引言:Spring AI 与 Chat Model 的核心价值 🚀 在 Java 生态中集成大模型能力,Spring AI 提供了高效的解决方案 🤖。其中 Chat Model 作为核心交互组件,通过标准化接口简化了与大语言模型(LLM࿰…...
区块链技术概述
区块链技术是一种去中心化、分布式账本技术,通过密码学、共识机制和智能合约等核心组件,实现数据不可篡改、透明可追溯的系统。 一、核心技术 1. 去中心化 特点:数据存储在网络中的多个节点(计算机),而非…...
C++--string的模拟实现
一,引言 string的模拟实现是只对string对象中给的主要功能经行模拟实现,其目的是加强对string的底层了解,以便于在以后的学习或者工作中更加熟练的使用string。本文中的代码仅供参考并不唯一。 二,默认成员函数 string主要有三个成员变量,…...
